试题筛选
共找到 862 道试题
排序方式:
中等
中等
中等
( )
,它们的位置关系是( )。
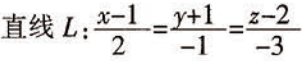
,平面Π的方程为2x+8y+z+3=0,则直线L与平面Π的位置关系是( )。
,与平面Π:3x-y+2z+1=0的位置关系,并求出直线l与平面Π的夹角的正弦值。
与平面Π:x+y+z=2的位置关系是( )。
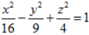
所确定的二次曲面是( )。
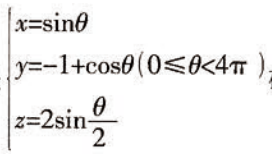
, 确定的曲线的一般方程是( )。