若n个随机变量相互独立,则其中任意k(2≤k≤)个随机变量也相互独立。
如果X与Y独立,且都服从[0,1]上的均匀分布,则二位随机变量(X,Y)的密度函数为____________
设二维随机变量(X,Y)的密度函数为
则X与Y( )
设X,Y为独立同分布的随机变量,若X的概率密度为h(x),则(X,Y)的联合密度函数f(x,y)=。
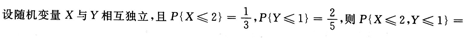
。
设随机变量X与Y相互独立,X和Y的概率密度分别为则P{0≤X≤1,0≤Y≤2}= 。
设随机变量X服从区间[1,3]上的均匀分布,Y服从参数为2的指数分布,X,Y相互独立,f(x,y)是(X,Y)的概率密度,则f(2,1)=。
设相互独立的随机变量X,Y均服从参数为2的指数分布,则当x>0,y>0时,(X,Y)的概率密度f(x,y)= 。
求: