试题筛选
共找到 862 道试题
排序方式:
中等
中等
中等






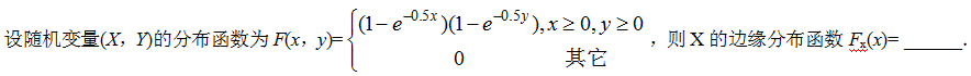
————。

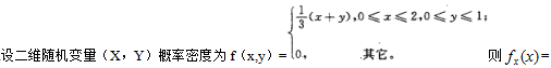
—————





