试题筛选
共找到 862 道试题
排序方式:
中等
中等
中等


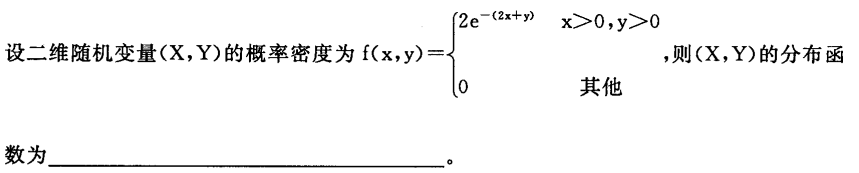
,则(X,Y)关于X的边缘概率密度









