试题筛选
共找到 862 道试题
排序方式:
中等
中等
中等
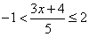
,x的整数解有( )个。
