自学考试一点通
搜索
首页
>
管理类联考数学课
>
函数、方程、不等式
>
试题详情
多选题
中等难度
企业所得税筹划
👁️ 浏览量:1562
📅 更新时间:2025-03-05
⭐ 收藏数:278
收藏试题
下载试题
分享试题
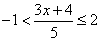
试题题干
的整数解有( )个。
A
3
B
4
C
5
D
6
E
7
参考答案
正确答案:
试题解析
,
,整数解:0,±2,±1,共5个,故选C。
相关试题推荐
简答题
简述税收筹划的基本原则,并结合案例说明应用方法
单选题
下列各项中,不属于税收筹划特点的是()
简答题
简述税收筹划与避税、逃税的区别。
案例分析题
某企业如何利用税收优惠政策进行企业所得税筹划?