随机变量X~π(5),则随机变量Y=3X的方差为( )
随机变量X~B(6,p),方差为1.26,则p为( )
已知事件A与B互斥,P(A)=0.5,P(B)=0.2,那么P(A∪B)=( )
下面哪一个值可作为随机事件的概率取值?( )
下列关于概率的说法,正确的是( )
随机事件A发生的可能性大小的度量(数值),称为事件A发生的。
随机事件A发生的可能性大小的度量(数值),称为事件A发生的概率。
若A与B互不相容,则有( )
概率在直观上表现为大量重复试验中事件发生的。
设 P(A)= 0. 4,P(B)= 0. 25,P(A∩B)= 0. 1,则 P(A∪B)为( )
设 A、B为互斥事件,P(A)=0.4,P(B)=0.25,则 P(A+B)为( )
已知P(A)=0.6,P(B)=0.4,P(AB)=0.1,那么P(A∪B)=( )
简述条件概率的定义。
盒中有5个产品,3个一等品,2个二等品,从中不放回地取产品,取两次,两次都是一等品的概率是2/5.
根据中心极限定理,在实际问题中若n足够大, 可以把独立同分布的随机变量之和当做是均匀随机变量来处理。
若X,Y是二维连续型随即向量,则它们相互独立的充要条件是( )
若X,Y是二维离散型随机向量,则它们相互独立的充要条件是( )
E(X)=8,则E(3X)=( )
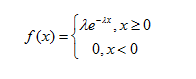
随机变量X服从,其数学期望为0.5,则λ为( )
为了研究某地区学龄前儿童的发育情况,对其进行抽样调查,被抽中的每个儿童分别调查其身高X和体重Y,此抽样方式形成的变量为( )。