自学考试一点通
搜索
首页
>
管理数量方法与分析
>
概率与概率分布
>
试题详情
多选题
中等难度
企业所得税筹划
👁️ 浏览量:1562
📅 更新时间:2025-03-05
⭐ 收藏数:278
收藏试题
下载试题
分享试题
试题题干
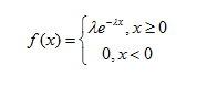
随机变量X服从
,其数学期望为0.5,则λ为( )
A
1
B
2
C
4
D
6
参考答案
正确答案:
试题解析
考点:指数分布的概率密度
数学期望为E(X)=1/λ。
本题,E(X)=1/λ=0.5,可知,λ=2
答案为B
相关试题推荐
简答题
简述税收筹划的基本原则,并结合案例说明应用方法
单选题
下列各项中,不属于税收筹划特点的是()
简答题
简述税收筹划与避税、逃税的区别。
案例分析题
某企业如何利用税收优惠政策进行企业所得税筹划?