若A为6阶方阵,齐次线性方程组Ax=0的基础解系中解向量的个数为2,则r(A)=( )
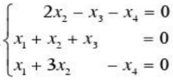
4元齐次线性方程组的基础解系所含解向量的个数为()
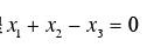
齐次方程的基础解系所含矢量个数是
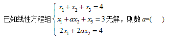
设非齐次线性方程组Ax=b,其中A为m×n阶矩阵,r(A)=r,则( )
非齐次线性方程组Ax=b有解的充分必要条件是