自学考试一点通
搜索
首页
>
学前教育科学研究与论文写作
>
学前教育统计分析研究
>
试题详情
多选题
中等难度
企业所得税筹划
👁️ 浏览量:1562
📅 更新时间:2025-03-05
⭐ 收藏数:278
收藏试题
下载试题
分享试题
试题题干
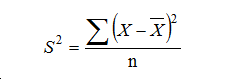
方差的计算公式是:( )
A
B
C
D
参考答案
正确答案:
试题解析
方差也称变异数、均方,它是一列数据与该组数据的平均数之差(即离差)的平方和的平均数。作为样本统计量,常用符号S2表示,当作总体参数时,常用符号σ2表示。方差的定义公式为:
相关试题推荐
简答题
简述税收筹划的基本原则,并结合案例说明应用方法
单选题
下列各项中,不属于税收筹划特点的是()
简答题
简述税收筹划与避税、逃税的区别。
案例分析题
某企业如何利用税收优惠政策进行企业所得税筹划?