多选题
中等难度
企业所得税筹划
👁️ 浏览量:1562
📅 更新时间:2025-03-05
⭐ 收藏数:278
下载试题

试题题干

在单总体t检验中,自由度等于( )

A

(r-1)(c-1)

B

k-1

C

n-1

D

n1+n2-2

参考答案

正确答案:

试题解析

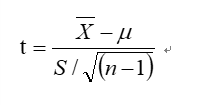
单总体t检验是当总体方差未知时,对某一个观测样本是否来自于已给定的总体,或是另一个总体的一种检验。单总体的t检验公式为:


df=n-1 

式中:df为自由度