试题题干
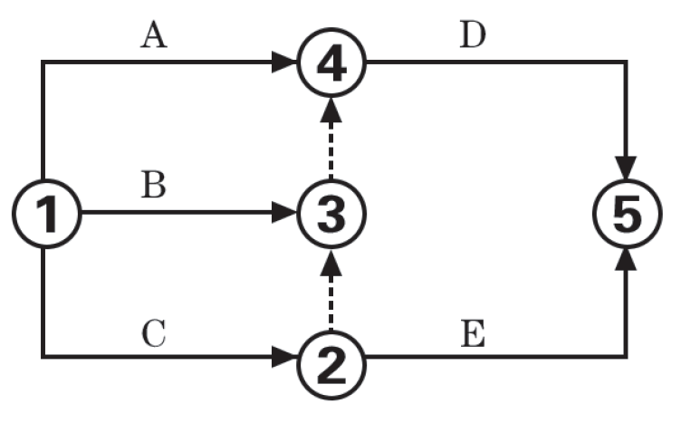
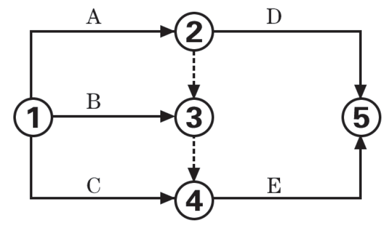
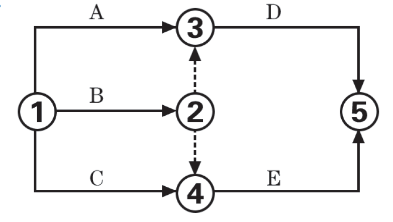
某工程有A、B、C、D、E五项工作,其逻辑关系为A、B、C完成后D开始,C完成后E才能开始,则据此绘制的双代号网络图是( )
参考答案
正确答案:
试题解析
本题四个选项均满足了题干中“C完成后E才能开始”这一要求,所以关键在于是否满足“A、B、C完成后D开始”,要想满足这一要求,工作A、B、C之后都需要有箭线方向指向工作D。满足这一要求的只有选项D。
某工程有A、B、C、D、E五项工作,其逻辑关系为A、B、C完成后D开始,C完成后E才能开始,则据此绘制的双代号网络图是( )
本题四个选项均满足了题干中“C完成后E才能开始”这一要求,所以关键在于是否满足“A、B、C完成后D开始”,要想满足这一要求,工作A、B、C之后都需要有箭线方向指向工作D。满足这一要求的只有选项D。