在某双代号网络计划中,工作A的最早开始时间为第10天,其持续时间为6天,该工作有两项紧后工作,它们的最早幵始时间分别为第26天和第31天,最迟开始时间分别为第27天和第34天,则工作A的总时差和自由时差( )天。
双代号网络图的组成要素包括( )
大型工程的进度计划是一个计划系统,应视项目的特点和施工进度控制的需要进行编制,从施工方角度需编制的进度计划有( )
编制控制性施工进度计划的主要目的是( )
下列属于施工进度计划的调整的内容的是 ()
在进度计划实施过程中,应进行的进度控制工作包括:①跟踪检查,收集实际进度数据;②将实际进度数据与进度计划对比;③分析计划执行的情况;④对产生的偏差,采取措施予以纠正或调整计划;⑤检查措施的落实情况;⑥进度计划的变更必须与有关单位和部门及时沟通。这些工作先后的正确次序是( )
关于网络计划的说法,正确的是( )
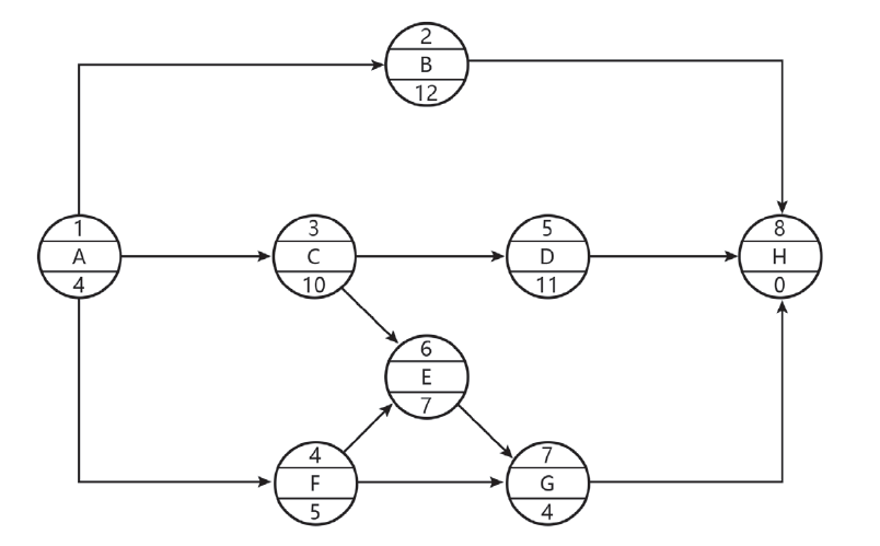
某建设工程网络计划如下图(时间单位:月)。该网络计划的关键线路有( )
施工进度计划调整的内容,不包括()的调整。
为确保施工进度计划能得以实施,施工方除了编制深度不同的控制性和直接指导项目施工的进度计划以及按不同计划周期的计划外,还应编制的计划有( )
当计算工期不能满足要求工期时,需要压缩关键工作的持续时间以满足工期要求。在选择缩短持续时间的关键工作时宜考虑( )
某单代号网络计划如下图,其关键线路有( )
根据建设工程施工进度检查情况的编制的进度报告,其内容有( )
关于工程网络计划中关键工作判别的说法,正确的是( )
施工进度计划检查的内容包括( )
施工方进度控制工作的主要环节包括()
施工进度计划的调整应包括工作(工序)起止时间的调整、工作关系的调整、资源提供条件的调整、必要目标的调整以及( )的调整。
施工方进度计划的调整内容有( )
施工进度控制的主要工作环节包括:①编制资源需求计划;②编制施工进度计划;③组织进度计划的实施;④施工进度计划的检查与调整。其正确的工作程序是( )
建设工程项目实施性施工计划的主要作用有( )