设f(x)的定义域是[0,3],则函数f(2x+1)的定义域是( )
函数y=lg(x-1)+lg(4-x)的定义域是 ()
下列函数中与y=x相同的是( )
函数f(x)=log(x-2)+ln(5-x)的定义域是( )
二次曲线y=x²+2x+1的图形经过点( )
方程x²+x-6=0的根是( )
方程x^2-4x+4=0有( )
方程x^2+4x+2=0有( )
已知f(x)=ax+b,且f(-1)=2,f(1)=-2,则f(x)=( )
(x+y+1)²+(x+2y+1)²=0,则x=( )
已知函数f(x)是线性函数,且f(-1)=2,f(1)=-2,则f(x)=( )
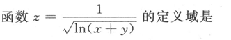
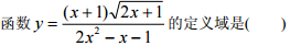
( )