试题题干
下列函数中与y=x相同的是( )
参考答案
正确答案:
试题解析
相同的函数需要满足两点:
(1)定义域相同
(2)定义域中每个数对应的函数值相等
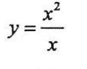
本题,B项满足两个条件。
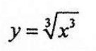
题干y=x的定义域为R,值域为R,
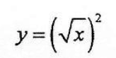
A项,偶次方根号下不能为负数;D项,分数分母不为0,故定义域和值域都与题干函数不同。
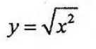
C项,值域为[0,+∞),与题干函数不同。
答案为B。
下列函数中与y=x相同的是( )
相同的函数需要满足两点:
(1)定义域相同
(2)定义域中每个数对应的函数值相等
本题,B项满足两个条件。
题干y=x的定义域为R,值域为R,
A项,偶次方根号下不能为负数;D项,分数分母不为0,故定义域和值域都与题干函数不同。
C项,值域为[0,+∞),与题干函数不同。
答案为B。