连续型随机变量X的分布函数为
设随机变量X的分布律为
则P{X<2}=( )
已知随机变量X只取-1,0,1,2,其相应概率依次为1/2c,3/4c,5/8c,7/16c,则P{X<1|X≠0}=( )
设随机变量X的概率分布为
则k=
则P{X≥1}=( )
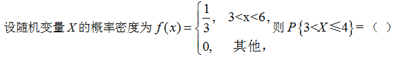
( )
则P{1≤X<3}=( )
设随机变量X的分布律为,则P{x≥1)=
设随机变量X服从区间[0,5]上的均匀分布,则P{X≤3}=。
已知随机变量服从参数为λ的指数分布,λ>0,则当x>0时X的分布函数F(x)=( )