试题题干
设
独立同分布于标准正态分布
,则
的分布称为自由度为
的( )
参考答案
正确答案:
试题解析
设
独立同分布于标准正态分布
,则
的分布称为自由度为
的
分布;设
,
,
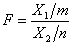
与
独立,则称
的分布是自由度为m与n的F分布;设随机变量
与
独立且
,
,则称
的分布为自由度为
的
分布。若随机变量
的可能取值为,
而X的分布律为
,
。其中
,
,则
称服从
参数为二项分布。
设
独立同分布于标准正态分布
,则
的分布称为自由度为
的( )
设
独立同分布于标准正态分布
,则
的分布称为自由度为
的
分布;设
,
,
与
独立,则称
的分布是自由度为m与n的F分布;设随机变量
与
独立且
,
,则称
的分布为自由度为
的
分布。若随机变量
的可能取值为,
而X的分布律为
,
。其中
,
,则
称服从
参数为二项分布。