自学考试一点通
搜索
首页
>
概率论与数理统计(经管类)
>
统计量及其抽样分布
>
试题详情
多选题
中等难度
企业所得税筹划
👁️ 浏览量:1562
📅 更新时间:2025-03-05
⭐ 收藏数:278
收藏试题
下载试题
分享试题
试题题干
()
A
B
C
D
参考答案
正确答案:
试题解析
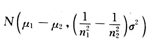
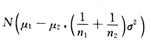
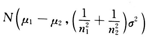
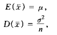
由样本均值、方差与总体均值、方差的关系可知
由此可得,所求随机变量服从的分布
相关试题推荐
简答题
简述税收筹划的基本原则,并结合案例说明应用方法
单选题
下列各项中,不属于税收筹划特点的是()
简答题
简述税收筹划与避税、逃税的区别。
案例分析题
某企业如何利用税收优惠政策进行企业所得税筹划?