自学考试一点通
搜索
首页
>
概率论与数理统计(经管类)
>
随机变量的数字特征
>
试题详情
多选题
中等难度
企业所得税筹划
👁️ 浏览量:1562
📅 更新时间:2025-03-05
⭐ 收藏数:278
收藏试题
下载试题
分享试题
试题题干
若X服从[1,5]上的均匀分布,则E(X)和D(X)分别为
参考答案
试题解析
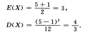
随机变量X服从[a,b]上的均匀分布U(a,b),则
E(X)=(a+b)/2、D(X)=(b-a)²/12
故本题:
相关试题推荐
简答题
简述税收筹划的基本原则,并结合案例说明应用方法
单选题
下列各项中,不属于税收筹划特点的是()
简答题
简述税收筹划与避税、逃税的区别。
案例分析题
某企业如何利用税收优惠政策进行企业所得税筹划?