自学考试一点通
搜索
首页
>
概率论与数理统计(经管类)
>
随机变量及其概率分布
>
试题详情
多选题
中等难度
企业所得税筹划
👁️ 浏览量:1562
📅 更新时间:2025-03-05
⭐ 收藏数:278
收藏试题
下载试题
分享试题
试题题干
()
A
N(-1,3)
B
N(-1,9)
C
N(1,3)
D
N(1,9)
参考答案
正确答案:
试题解析
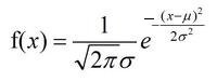
正态分布的概率密度函数为,
由X的概率密度函数可知,X服从正态分布,均值为-1,方差为9,则X~N(-1,9)
相关试题推荐
简答题
简述税收筹划的基本原则,并结合案例说明应用方法
单选题
下列各项中,不属于税收筹划特点的是()
简答题
简述税收筹划与避税、逃税的区别。
案例分析题
某企业如何利用税收优惠政策进行企业所得税筹划?