自学考试一点通
搜索
首页
>
概率论与数理统计(经管类)
>
随机变量及其概率分布
>
试题详情
多选题
中等难度
企业所得税筹划
👁️ 浏览量:1562
📅 更新时间:2025-03-05
⭐ 收藏数:278
收藏试题
下载试题
分享试题
试题题干
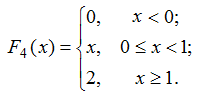
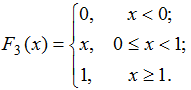
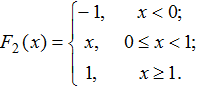
下列函数中可作为随机变量分布函数的是( )
A
B
C
D
参考答案
正确答案:
试题解析
考查分布函数的性质:
F(-∞)=0,F(+∞)=1。
对于B选项,不满足F(-∞)=0;对于A、D选项,不满足F(+∞)=1.
答案为C
相关试题推荐
简答题
简述税收筹划的基本原则,并结合案例说明应用方法
单选题
下列各项中,不属于税收筹划特点的是()
简答题
简述税收筹划与避税、逃税的区别。
案例分析题
某企业如何利用税收优惠政策进行企业所得税筹划?