试题题干
某银行分理处专门为VIP客户开设了一个接待窗口,假定客户到达服从泊松分布,平均每小时为3人,服务时间服从指数分布,每接待一个客户需要0.25小时,则平均排队长是
参考答案
试题解析
已知λ=3,1/μ=0.25,μ=4,因此服务强度ρ=λ/μ=3/4=0.75
第一步先求,平均队长:L(平均队长)=ρ/(1-ρ)=0.75/(1-0.75)=3
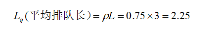
故平均排队长:
某银行分理处专门为VIP客户开设了一个接待窗口,假定客户到达服从泊松分布,平均每小时为3人,服务时间服从指数分布,每接待一个客户需要0.25小时,则平均排队长是
已知λ=3,1/μ=0.25,μ=4,因此服务强度ρ=λ/μ=3/4=0.75
第一步先求,平均队长:L(平均队长)=ρ/(1-ρ)=0.75/(1-0.75)=3
故平均排队长: