多选题
中等难度
企业所得税筹划
👁️ 浏览量:1562
📅 更新时间:2025-03-05
⭐ 收藏数:278
下载试题

试题题干

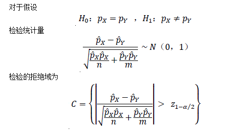
由100名政府官员构成的样本中有54%的人预计下一年的经济形式会好转,由200名市民构成的样本中有48%的人做同样的估计。问:政府官员与市民的预测是否存在显著差异?(α=0.05)

参考答案

试题解析