自学考试一点通
搜索
首页
>
管理数量方法与分析
>
概率与概率分布
>
试题详情
多选题
中等难度
企业所得税筹划
👁️ 浏览量:1562
📅 更新时间:2025-03-05
⭐ 收藏数:278
收藏试题
下载试题
分享试题
试题题干
随机变量X服从[a,10]上的均匀分布,其方差为3,则a为( )
A
1
B
2
C
3
D
4
参考答案
正确答案:
试题解析
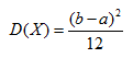
考点:随机变量X在[a,b]上的服从均匀分布,则其方差
。
据此,3=(10-a)²/12,解得a=4
答案为D
相关试题推荐
简答题
简述税收筹划的基本原则,并结合案例说明应用方法
单选题
下列各项中,不属于税收筹划特点的是()
简答题
简述税收筹划与避税、逃税的区别。
案例分析题
某企业如何利用税收优惠政策进行企业所得税筹划?