试题题干
某企业持有非上市企业债券100万元,票面利率为12%,按年付息,到期还本。该债券尚有两年到期,前3年利息均已入账,如果折现率取10%,则该债券价值最可能是( )
参考答案
正确答案:
试题解析
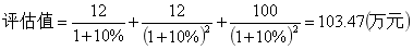
本题考点非上市债券的评估,
,因此本题选择D。
某企业持有非上市企业债券100万元,票面利率为12%,按年付息,到期还本。该债券尚有两年到期,前3年利息均已入账,如果折现率取10%,则该债券价值最可能是( )
本题考点非上市债券的评估,
,因此本题选择D。