试题题干
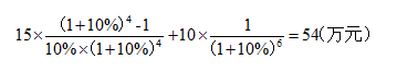
某机械公司以一批施工机械投资于一建筑公司,协议联营10年。该批机械作价100万元,机械公司每年分配利润15万元,协议期满后建筑公司以折余价值10万元买下这批机械。评估时已经联营满6年了,折现率为10%。则该项投资的评估价值约为( )
参考答案
正确答案:
试题解析

因此本题选A。
某机械公司以一批施工机械投资于一建筑公司,协议联营10年。该批机械作价100万元,机械公司每年分配利润15万元,协议期满后建筑公司以折余价值10万元买下这批机械。评估时已经联营满6年了,折现率为10%。则该项投资的评估价值约为( )

因此本题选A。