试题题干
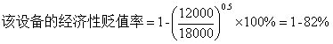
某专用生产线,原设计生产能力为18000台/年,该生产线至今已使用了6年,尚可使用4年。目前由于新生产线的出现,对老产品的需求量减少,造成开工不足,每年只需要12000台的生产能力,根据该行业的统计,其规模效益指数为0.5。该设备的经济性贬值率为( )
参考答案
正确答案:
试题解析
,故本题选A项。
某专用生产线,原设计生产能力为18000台/年,该生产线至今已使用了6年,尚可使用4年。目前由于新生产线的出现,对老产品的需求量减少,造成开工不足,每年只需要12000台的生产能力,根据该行业的统计,其规模效益指数为0.5。该设备的经济性贬值率为( )
,故本题选A项。