自学考试一点通
搜索
首页
>
财务管理学
>
长期筹资方式与资本成本
>
试题详情
多选题
中等难度
企业所得税筹划
👁️ 浏览量:1562
📅 更新时间:2025-03-05
⭐ 收藏数:278
收藏试题
下载试题
分享试题
试题题干
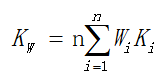
以下属于加权平均资本的计算公式的是( )
A
B
C
D
参考答案
正确答案:
试题解析
加权平均资本成本是以各项个别资本在公司长期资本中所占比重为权数,对个别资本成本进行加权平均确定的。加权平均资本的计算公式如下:
相关试题推荐
简答题
简述税收筹划的基本原则,并结合案例说明应用方法
单选题
下列各项中,不属于税收筹划特点的是()
简答题
简述税收筹划与避税、逃税的区别。
案例分析题
某企业如何利用税收优惠政策进行企业所得税筹划?