多选题
中等难度
企业所得税筹划
👁️ 浏览量:1562
📅 更新时间:2025-03-05
⭐ 收藏数:278
下载试题

试题题干

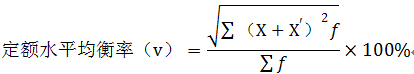
劳动定额水平均衡率的统计分析过程包括计算定额水平均衡率,定额水平均衡率的计算公式为()

A

B

C

D

参考答案

正确答案:

试题解析