试题题干
某市已有幼儿园400所,其中事业单位举办的有80所,企业单位举办的有120所,街道居委会举办的有60所,私人举办的有140所。如果想从中选出20所幼儿园做样本,如何进行抽样?
参考答案
试题解析
首先根据总体数量较多内部差异较大的情况,确定采用分层随机抽样。
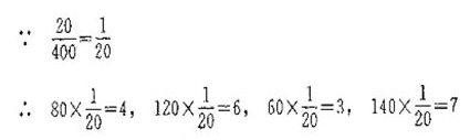
接着按举办者的不同,将幼儿园分为4个类型,并根据各类型在总体所占比例,确定其样本容量。
即4个类型分配抽样的幼儿园分别是4所、6所、3所、7所。
最后按随机性原则分别从各个类型的幼儿园中抽取出各自分配到的数量的幼儿园。
某市已有幼儿园400所,其中事业单位举办的有80所,企业单位举办的有120所,街道居委会举办的有60所,私人举办的有140所。如果想从中选出20所幼儿园做样本,如何进行抽样?
首先根据总体数量较多内部差异较大的情况,确定采用分层随机抽样。
接着按举办者的不同,将幼儿园分为4个类型,并根据各类型在总体所占比例,确定其样本容量。
即4个类型分配抽样的幼儿园分别是4所、6所、3所、7所。
最后按随机性原则分别从各个类型的幼儿园中抽取出各自分配到的数量的幼儿园。