多选题
中等难度
企业所得税筹划
👁️ 浏览量:1562
📅 更新时间:2025-03-05
⭐ 收藏数:278
下载试题

试题题干

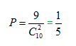
从标号为1到10的10张卡片中随机抽取2张,它们的标号之和能被5整除的概率为( )

A

1/5

B

1/9

C

2/9

D

2/15

E

7/45

参考答案

正确答案:

试题解析

能被5整除的有:1+4,1+9,2+3,2+8,3+7,4+6,5+10,6+9,7+8,共9种,