试题题干

参考答案
正确答案:
试题解析
圆的标准方程:
,其圆心坐标为(a,b),半径为r.
本题中,圆心为(-1,1),半径为1.
故可画出图像为:

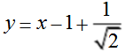
易知斜率为1,只要求出切线的一个坐标D即可。
由图易知:![]()
故D的坐标为(0,
),切线方程过D点,故代入y=x+b可得![]()

圆的标准方程:
,其圆心坐标为(a,b),半径为r.
本题中,圆心为(-1,1),半径为1.
故可画出图像为:

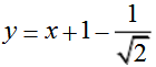
易知斜率为1,只要求出切线的一个坐标D即可。
由图易知:![]()
故D的坐标为(0,
),切线方程过D点,故代入y=x+b可得![]()