试题题干
在36人中,血型情况如下:A型12人,B型10人,AB型8人,O型6人。若从中随机选出两人,则两人血型相同的概率是( )
参考答案
正确答案:
试题解析
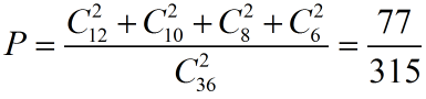
血型相同的情况共有:
从36人中随机选出2人的情况共有:
故随机选出2人,且这2人血型相同的概率是
故本题选A。
在36人中,血型情况如下:A型12人,B型10人,AB型8人,O型6人。若从中随机选出两人,则两人血型相同的概率是( )
血型相同的情况共有:
从36人中随机选出2人的情况共有:
故随机选出2人,且这2人血型相同的概率是
故本题选A。