自学考试一点通
搜索
首页
>
管理类联考数学课
>
几何
>
试题详情
多选题
中等难度
企业所得税筹划
👁️ 浏览量:1562
📅 更新时间:2025-03-05
⭐ 收藏数:278
收藏试题
下载试题
分享试题
试题题干
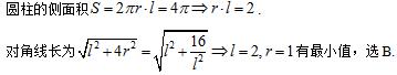
已知圆柱的侧面积为4π,则当轴截面的对角线长取最小值时,圆柱的母线长l与底半径的r值是( )。
A
l=r=1
B
r=1,l=2
C
r=1,l=3
D
r=1,l=4
E
r=2,l=2
参考答案
正确答案:
试题解析
此题考查的是圆柱的侧面积。
相关试题推荐
简答题
简述税收筹划的基本原则,并结合案例说明应用方法
单选题
下列各项中,不属于税收筹划特点的是()
简答题
简述税收筹划与避税、逃税的区别。
案例分析题
某企业如何利用税收优惠政策进行企业所得税筹划?