试题题干
如图,三个边长为1的正方形所覆盖区域(实线所围)的面积为( )

参考答案
正确答案:
试题解析
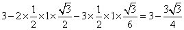
三个边长为1的正方形所覆盖区域面积为三个边长为1的正方形的面积减去中间边长为1 的等边三角形面积的2倍(中间部分多计算了2遍),再减去底边长为1,底角为
的等腰三角形面积的3倍(周围的等腰三角形多计算了3遍),即
,故选E。
如图,三个边长为1的正方形所覆盖区域(实线所围)的面积为( )

三个边长为1的正方形所覆盖区域面积为三个边长为1的正方形的面积减去中间边长为1 的等边三角形面积的2倍(中间部分多计算了2遍),再减去底边长为1,底角为
的等腰三角形面积的3倍(周围的等腰三角形多计算了3遍),即
,故选E。