试题题干
已知三角形ABC的三条边长分别为a,b,c。则三角形ABC是等腰直角三角形。
(1)![]()
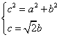
(2)![]()
参考答案
正确答案:
试题解析
本题考点:判断三角形形状
条件(1),
或
,即三角形ABC是等腰三角形或直角三角形,条件(1)不充分;
条件(2)
显然不充分;
联合条件(1),(2)有
或
,均为为等腰直角三角形,联合充分,故选C。
已知三角形ABC的三条边长分别为a,b,c。则三角形ABC是等腰直角三角形。
(1)![]()
(2)![]()
本题考点:判断三角形形状
条件(1),
或
,即三角形ABC是等腰三角形或直角三角形,条件(1)不充分;
条件(2)
显然不充分;
联合条件(1),(2)有
或
,均为为等腰直角三角形,联合充分,故选C。