多选题
中等难度
企业所得税筹划
👁️ 浏览量:1562
📅 更新时间:2025-03-05
⭐ 收藏数:278
下载试题

试题题干

已知数列为等差数列,公差为,则

(1)

(2)

A

条件(1)充分,但条件(2)不充分.

B

条件(2)充分,但条件(1)不充分.

C

条件(1)和(2)单独都不充分,但条件(1)和条件(2)联合起来充分.

D

条件(1)充分,条件(2)也充分.

E

条件(1)和(2)单独都不充分,条件(1)和条件(2)联合起来也不充分.

参考答案

正确答案:

试题解析

本题考点为等差数列

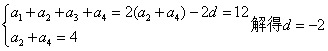
条件(1),,所以条件(1)充分

条件(2),因为,同(1),所以条件(2)也充分

故选D。