试题题干
已知
为等差数列,则该数列的公差为零.
(1)对任何正整数n,都有
.
(2)
.
参考答案
正确答案:
试题解析
本题考查条件充分性的判断,以及等差数列单调性问题。
本题需要看条件(1)和条件(2)是否可以使公差为0成立。下面分别计算:
条件(1):
已知:等差数列的前n项和公式:
,当公差d不为0时,可将其化成关于n的二次函数:![]()
故有:
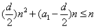
,即
,令
为抛物线,
为直线,则对任何正整数n,都有
抛物线开口方向向下,则
,不充分;
条件(2):
,不充分;
故条件(1)和条件(2)单独都不充分,所以把条件(1)和条件(2)联合起来看:当(1)(2)联合起来有
,所以联合充分。
综上选C。