试题题干
某公司共有甲、乙两个部门,如果从甲部门调10人到乙部门,那么乙部门人数是甲部门人数的2倍,如果把乙部门员工的
调到甲部门,那么两个部门的人数相等,该公司的总人数为( )
参考答案
正确答案:
试题解析
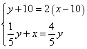
设甲部门有x人,乙部门有y人,由已知
,得x=90,y=150.该公司的总人数为x+y=240人.故选D.
某公司共有甲、乙两个部门,如果从甲部门调10人到乙部门,那么乙部门人数是甲部门人数的2倍,如果把乙部门员工的
调到甲部门,那么两个部门的人数相等,该公司的总人数为( )
设甲部门有x人,乙部门有y人,由已知
,得x=90,y=150.该公司的总人数为x+y=240人.故选D.