多选题
中等难度
企业所得税筹划
👁️ 浏览量:1562
📅 更新时间:2025-03-05
⭐ 收藏数:278
下载试题

试题题干


A

条件(1)充分,但条件(2)不充分。

B

条件(2)充分,但条件(1)不充分。

C

条件(1)和(2)单独都不充分,但条件(1)和条件(2)联合起来充分。

D

条件(1)充分,条件(2)也充分。

E

条件(1)和(2)单独都不充分,条件(1)和条件(2)联合起来也不充分。

参考答案

正确答案:

试题解析

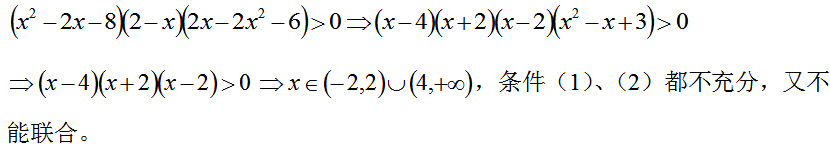
本题考查条件充分性的判断。
本题需要看条件(1)和条件(2)是否可以使题目不等式成立。下面分别计算:


故选E。