试题题干

参考答案
正确答案:
试题解析
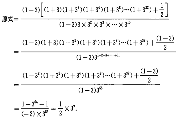
分式的分子和分母同乘以(或除以)同一个不为零的式子,分式的值不变。
本题中,根据平方差公式:
可知,原式的分子如果乘以(1-3)可以依次递推消除,使结果简单。
故原式的分子和分母同时乘以(1-3)。即


分式的分子和分母同乘以(或除以)同一个不为零的式子,分式的值不变。
本题中,根据平方差公式:
可知,原式的分子如果乘以(1-3)可以依次递推消除,使结果简单。
故原式的分子和分母同时乘以(1-3)。即
