试题题干
设抛物线y=x²+2ax+b与x轴相交于A,B两点,点C坐标为(0,2),若△ABC的面积等于6,则( )
参考答案
正确答案:
试题解析
一元二次方程![]()

故
本题中,设A、B两点的横坐标分别为
,则
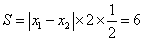
的面积为
, 则有![]()
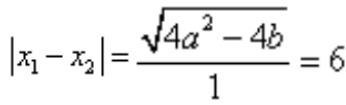
故
得
.
故选A。
设抛物线y=x²+2ax+b与x轴相交于A,B两点,点C坐标为(0,2),若△ABC的面积等于6,则( )
一元二次方程![]()

故
本题中,设A、B两点的横坐标分别为
,则
的面积为
, 则有![]()
故
得
.
故选A。