多选题
中等难度
企业所得税筹划
👁️ 浏览量:1562
📅 更新时间:2025-03-05
⭐ 收藏数:278
下载试题

试题题干

(2x²+x+3)(-x²+2x+3)<0.

(1)x∈[-3,-2].

(2)x∈(4,5).

A

条件(1)充分,但条件(2)不充分。

B

条件(2)充分,但条件(1)不充分。

C

条件(1)和(2)单独都不充分,但条件(1)和条件(2)联合起来充分。

D

条件(1)充分,条件(2)也充分。

E

条件(1)和(2)单独都不充分,条件(1)和条件(2)联合起来也不充分。

参考答案

正确答案:

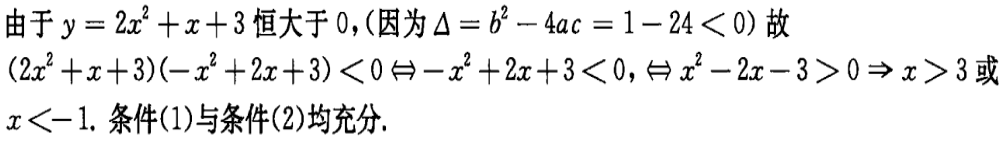
试题解析


故选D。