自学考试一点通
搜索
首页
>
管理类联考数学课
>
实数的运算和性质(算术)
>
试题详情
多选题
中等难度
企业所得税筹划
👁️ 浏览量:1562
📅 更新时间:2025-03-05
⭐ 收藏数:278
收藏试题
下载试题
分享试题
试题题干
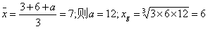
有一组数据:3,6,a。这组数的算术平均数是7,那么几何平均数是( )
A
12
B
6
C
3
D
4
E
以上都不对
参考答案
正确答案:
试题解析
。故选B。
相关试题推荐
简答题
简述税收筹划的基本原则,并结合案例说明应用方法
单选题
下列各项中,不属于税收筹划特点的是()
简答题
简述税收筹划与避税、逃税的区别。
案例分析题
某企业如何利用税收优惠政策进行企业所得税筹划?