试题筛选
共找到 862 道试题
排序方式:
中等
中等
中等
中等
中等

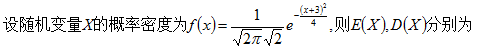
,则E(X)=
————
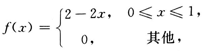
,则E(X)=
