试题筛选
共找到 862 道试题
排序方式:
中等
中等
中等
中等


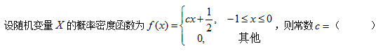
( )

,则




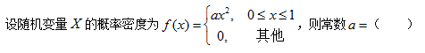
()
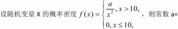
()
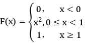
()