试题筛选
共找到 862 道试题
排序方式:
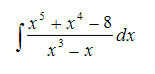
中等
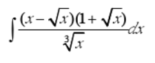
中等
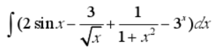
中等
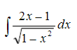
中等
中等














