试题筛选
共找到 862 道试题
排序方式:
中等
中等
中等
中等
中等
中等
中等
中等
中等
中等
中等

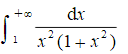
此积分的值为
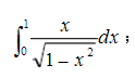
求此积分的值
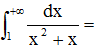
求此积分的值
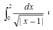
此积分的值为