自学考试一点通
搜索
首页
>
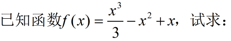
高等数学(一)
>
微分中值定理和导数的应用
>
试题列表
试题筛选
课程分类
全部课程
税收筹划
高等数学(工本)
营养治疗
食品安全
社区营养学
试题类型
全部类型
单选题
多选题
填空题
简答题
案例分析题
难度等级
全部难度
简单
中等
较难
全部知识点
税收筹划概述
增值税筹划
消费税筹划
企业所得税筹划
实操案例
应用筛选
重置筛选
共找到
862
道试题
排序方式:
热度优先
最新发布
难度递增
中等
中等
中等
中等
证明:方程x³-3x+1=0在区间[0,1]上不可能有两个不同的根.
中等
中等
中等
中等
中等
中等
中等
中等
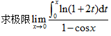
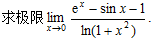
求极限
。
中等
中等
中等
中等
中等
中等
中等
()
中等
函数y=(x+1)³在区间(-1,2)内是( )
上页
1
2
3
4
5
6
...
21
下页