已知cosx=0,试求tan(x/2)
已知sinx=1/2,试求tanx
已知cosx=1/2,试求cos(x/2)
已知三角形的两边长分别为b、c,两边的夹角为A,试求另一边长a。
已知sinx=1/2,试求cosx
已知cosx=1/2,试求sin(x/2)
已知cosx=1/2,试求cscx
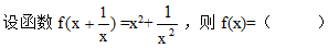
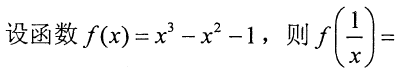
.
设函数f(x+2)=x² ,则f(x)=( )
设函数f(x+1)=x+cosx,则f(1)=( )
求联系华氏温度(用F表示)和摄氏温度(用C表示)的转换公式,并求:
设f(x)的定义域D=[0,1],求下列各函数的定义域: